PROBLÉMY LOMOVÉ MECHANIKY V.BRNO, ČERVEN 2005

Jednoduchý model lomu tlakem

P. Frantík1

1Petr Frantík, Ing., Ph.D., Vysoké učení technické v Brně, Fakulta stavební,Ústav stavební mechaniky, Veveří 331/95, 602 00 Brno, e-mail: kitnarf at centrum dot cz

 

Abstrakt: V článku je představen model s jedním stupněm volnosti sloužící pro vystižení procesu porušení tlačeného vzorku z kvazikřehkého materiálu, jakým je malta popř. beton. Výstižnost modelu je ukázána na srovnání výsledků experimentu s jejich aproximací pomocí popsaného modelu.

 

Model lomu při tlaku, publikovaný v tomto článku, lze považovat za obdobu modelu lomu při ohybu [1], jenž byl prezentován na předešlém ročníku tohoto semináře. Motivace je totožná. Najít co nejjednodušší model, zejména kvalitativně vystihující daný problém, kterým je komplikovaný proces porušování kvazikřehkého materiálu.

Při modelování porušování kvazikřehkých materiálů vznikají výpočetně náročné úlohy. Matematický popis průběhu porušování při zatěžování konstantním přírůstkem deformace se zřejmě neobejde bez nelineární formulace, z čehož vyplývá přínos hledání jednoduchých modelů. Tento přístup je prosazován zejména teorií nelineárních dynamických systémů, viz [2, 3], představující v současnosti účinný nástroj pro analýzu systémů se složitým chováním.

 

1 Úloha

Mějme kvádr, čtvercového průřezu, který je stlačován na dvou protilehlých (obecně obdélníkových) stranách řízeným přírůstkem deformace, viz obr. 1. Předmětem zájmu je v tomto případě vystižení zatěžovacího diagramu síla-průhyb, kde silou reprezentujeme tlakové napětí vyvozované zatěžovací soupravou pro řízený přírůstek deformace.


Obrázek 1: Tlak na kvádru s hypotetickým porušením

Na obrázku 1 je rovněž znázorněn hypotetický průběh porušení, který sloužil pro vytvoření modelu. Očekává se, v souladu s výsledky experimentů, že vzniknou klínovité útvary jakoby "ve stínu" zatěžovacích příložek. Tohoto útvaru bylo rovněž dosaženo numerickým modelováním pomocí metody konečných prvků, viz [4].

 

2 Model

Při vytvoření modelu vyjdeme z hypotézy vzniku klínových útvarů, jak bylo popsáno výše. Předpokládejme, že k inicializaci rozhodující trhliny dojde
v geometrickém středu čtvercového průřezu - vrcholu klínových útvarů. Zjednodušme výše popsanou úlohu zavedením dvou os symetrie jdoucích tímto středem, rovnoběžných se stranami vzorku. Klínové útvary i vytlačovaný materiál nahradíme tuhými deskami, jenž po sobě volně kloužou. Uvažujme dále, že působení mezi těmito deskami postačí modelovat soustavou vláken, jak je znázorněno na obr. 2.


Obrázek 2: Model trámce

Zatěžování kvádru bude probíhat vzájemným posunem desek, při kterém bude docházet k prodlužování vláken. Pro daný svislý posuv u desky nahrazující vytlačovaný materiál platí, že je roven protažení vláken. Odpovídající poloviční zatěžující sílu F lze stanovit z napjatosti vláken. Definujme vztahy mezi vlákny
a zatíženou tuhou deskou nahrazující vytlačovaný materiál.

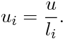
Nechť ui je poměrné protažení i-tého vlákna délky li (dle obr. 2) definované vztahem:

(1)

Sílu Fi, kterou i-té vlákno působí, lze pak definovat vztahem:

(2)

kde Fi(ui) je libovolná funkce napjatosti vlákna.

Díky známé napjatosti každého vlákna a tedy známým silám Fi, jimiž vlákna na desky působí, snadno stanovíme z podmínky rovnováhy výslednou sílu F, odpovídající danému posuvu u:

(3)

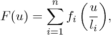
kde n je počet vláken. Tento vztah lze s užitím vztahů (1) a (2) přepsat:

(4)

což je hledaná závislost síla-průhyb.

 

3 Tahové vlákno

Pro získání odezvy modelu popsaného v předchozí části potřebujeme definovat funkci napjatosti vlákna Fi(ui). Popsaná definice je totožná s definicí v článku [1] prezentovaném na minulém ročníku semináře.

Zvolme pro jednoduchost bilineární pracovní diagram, viz obr. 3. Funkce napjatosti Fi(ui) pak může být definována:

(5)

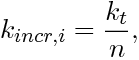
kde kincr,i je tuhost vlákna při pružném působení (což odpovídá sklonu vzestupné části diagramu), kdecr,i odpovídá sklonu sestupné části diagramu, upeak,i je protažení vlákna, při kterém je dosaženo maximální síly ve vláknu a uzero,i je maximální protažení vlákna (překročením této hodnoty dochází k jeho přetržení), viz obr. 3.

Funkce napjatosti bude pro každé vlákno definována parametry: tuhostí vlákna při pružném působení kincr,i, maximální tahovou silou Fpeak,i, kterou je vlákno schopno přenést (odpovídá tahové pevnosti vlákna) a přetvárnou prací Wf,i nutnou k přetržení vlákna. Ostatní parametry, figurující v definici funkce napjatosti (5), je možné jednoznačně stanovit ze vztahů:

(6)

(7)

(8)


Obrázek 3: Funkce napjatosti vlákna

 

4 Aplikace

Budeme-li chtít popsat chování určitého kvádru několika málo parametry takovými, které budou nezávislé na zvoleném počtu vláken ve výše popsaném modelu, je třeba najít vztahy, kterými lze vyjádřit souvislost těchto parametrů s parametry napjatostních funkcí vláken. Uvedené vztahy jsou až na výjimku shodné se vztahy publikovanými v článku 1. Kromě poloviční šířky a výšky kvádru h zvolme tři reprezentativní parametry: charakteristická tuhost v tahu kvádru kt, charakteristická únosnost v tahu kvádru ft a koeficient přetvárné práce kvádru ct. Pak lze parametry napjatostních funkcí jednotlivých vláken definovat takto:

(9)

(10)

(11)

(12)

kde Wf,bas,i vyjadřuje část přetvárné práce, jež odpovídá energii potřebné pro natažení vlákna pro dosažení maximální tahové napjatosti. Koeficient přetvárné práce kvádru ct je možné uvažovat z intervalu .

Pro takto definované parametry lze ukázat, že odezva modelu velmi rychle konverguje se zvyšujícím se počtem vláken n, obdobně jak je tomu u modelu [1]. Rychlost konvergence závisí, z hlediska hladkosti získaného diagramu síla-průhyb, na koeficientu přetvárné práce ct, viz obr. 4. Čím bližší je koeficient ct dolní mezní hodnotě, tím méně hladká je odezva modelu (tato skutečnost jasně vyplývá z charakteru funkce napjatosti vlákna).


Obrázek 4: Znázornění konvergence diagramu síla-průhyb modelu pro nejnepříznivější případ, tj. pro koeficient ct=1, který reprezentuje křehký materiál

Závěrem si ukažme jak se projeví hodnota přetvárné práce na odezvě modelu. Na obr. 5 je vidět srovnání diagramů síla-průhyb pro různé hodnoty koeficientu přetvárné práce ct.

Zvýšení hodnoty přetvárné práce vláken Wf se zřetejně projevilo změnou odezvy modelu jak je obvyklé. Zvětšila se maximální dosažená síla a zvýšila se plocha pod zatěžovací křivkou.


Obrázek 5: Diagramy síla-průhyb modelu pro různé koeficienty přetvárné práce vyjadřující křehkost materiálu

 

Experiment

Srovnáním chování modelu vzhledem k výsledkům experimentu [5] ukázalo, že je vhodné doplnit model o nový prvek - svislou (tlakovou) lineární pružinu, která nahrazuje pružné vertikální stlačení, viz obr. 6. Důvod této úpravy tkví ve variabilitě sklonu vzestupné části zatěžovacího diagramu. Z experimentů [5] je patrné, že popsaný model by nebyl s to postihnout publikované závislosti. Fyzikální interpretaci souladu tlakové pružiny s tahovými vlákny lze hledat v příčné kontrakci materiálu.


Obrázek 6: Model lomu tlakem s přidanou tlakovou pružinou

Nechť kc je tuhost přidané tlakové pružiny. Pro sílu Fc v této pružině pak platí:

(13)

kde uc je stlačení pružiny. Pružina a vlákna jsou uspořádána sériově. Díky tomu můžeme psát:

(14)

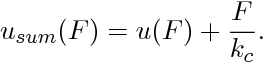
kde usum je celkové stlačení kvádru. Dosazením a upravením těchto vztahů získáme celkové stlačení usum pro danou sílu F:

(15)

Význam provedené úpravy je patrný na obr. 7. Hodnoty posunutí původního zatěžovacího diagramu u(F) se vlivem přidání tlakové pružiny posunuly vpravo o hodnotu přímo úměrnou dané zatěžující síle F. Čím nižší je tuhost tlakové pružiny kc, tím větší budou tato posunutí. Poznamenejme, že při dostatěčně nízké hodnotě této tuhosti dojde k jevu, který se nazývá snap-back (viz [6]), kdy zatěžovací křivka přestane být jednoduchou funkcí.

Na obr. 8 je vidět srovnání experimentálně získaného zatěžovacího diagramu (viz [5], Fig. 1 (a), PC-0) na válcových vzorcích z betonu s aproximovaným upraveným modelem lomu tlakem. Srovnání má ilustrativní charakter.


Obrázek 7: Srovnání zatěžovacích diagramů před a po přidání tlakové pružiny. Diagramy jsou vztaženy k výsledkům experimentu [5] - viz obr. 8, včetně odpovídajího popisu (graf napětí-přetvoření, angl. stress-strain)


Obrázek 8: Srovnání výsledku experimentu [5] (Fig. 1 (a), PC-0) na betonových válcových vzorcích s aproximací upraveného modelu lomu tlakem}

 

5 Závěr

V článku byl popsán jednostupňový model lomu při tlaku, inspirovaný výsledky tlakových zkoušek s konstantním přírůstkem deformace na kvádrech z cementové malty. Model byl vytvořen v souladu s principy minimalizace počtu stupňů volnosti v duchu teorie nelineárních dynamických systémů.

V návaznosti na srovnání s výsledky experimentů byl původní model upraven přidáním tlakové pružiny pro zvýšení variability sklonu vzestupné části zatěžovacího diagramu.

Z prvotních srovnání s provedenými experimenty se zdá, že model může sloužit pro vystižení procesu lomu tlakem včetně zahrnutí vlivu vyztužení betonu např. pomocí vláken a pro studium jejich rozložení.

 

Poděkování

Tento výsledek byl získán za finančního přispění MŠMT, projekt 1M6840770001, v rámci činnosti výzkumného centra CIDEAS. Při řešení byly částečně využity teoretické výsledky dosažené v projektu GA ČR 103/03/1350.

 

Literatura

[1] Frantík, P., Jednoduchý model lomu trámce, Sborník semináře Problémy lomové mechaniky IV., ÚFM AV ČR a STM FAST VUT v Brně, červen 2004, p. 21–27

[2] Macur, J., Úvod do teorie dynamických systému a jejich simulace, nakladatelsví PC-DIR s.r.o., Brno 1995

[3] Arnold, V. I., Teória katastrof (orig. Teorija katastrof, vydavatelstvo Moskevské univerzity 1983), vydavateľstvo Alfa, Bratislava 1986

[4] Frantík, P., Keršner, Z., Štancl, P., Vliv okrajových podmínek při modelování tlakové zkoušky, Sborník konference Modelování v mechanice, VŠB-TU Ostrava, únor 2005

[5] Poon, C. S., Shui, Z. H., Lam, L., Compressive behavior of fiber reinforced high-performance concrete subjected to elevated temperature, In: Cement and Concrete Research 34, 2004, p. 2215-2222

[6] Bažant, Z. P., Cedolin, L., Stability of Structures, Elastic, Inelastic, Fracture and Damage Theories, Oxford University Press, New York 1991