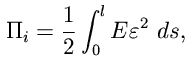
Spojitá aproximace prutu při ztrátě stability od vlastní tíhy

Petr Frantík1

 

Abstract

The analytic aproximation of the nonlinear solution of the elastic cantilever beam buckling problem is presented in the paper. The beam is loaded by the gravity, which is in the same direction like the undeformed beam axis. The variational Ritz method was used for the finding the buckling shape approximation.

 

Úvod

Problematika geometricky nelineárních výpočtů pružných konstrukcí je v současnosti velmi dobře zpracována. Je možno řešit téměř libovolně velké deformace (posunutí) konstrukcí s dobrou shodou s přesnými řešeními takových úloh. Přesto bývá často obtížné pochopit souvislosti předpokladů užitých při řešení. Tento příspěvek, navazující na články [1] a [2], si klade za cíl ukázat jednu z cest přispívající k porozumění této problematice. Odvození prezentované v tomto článku může být také vhodné pro pedagogické účely při seznámení se s řešením prutových konstrukcí, užitím Ritzovy metody a obecnou aplikací energetických principů.

 

1 Úloha

Mějme vetknutý nosník konstantního průřezu v gravitačním poli působícím ve směru osy nepřetvořeného prutu, viz obrázek 1. Předpokládejme ideálně přímý nosník natolik štíhlý, že se jeho materiál chová lineárně pružně pro libovolné posunutí (pro dané konečné posunutí je tato úloha reálná).


Figure 1: Řešená konstrukce

Hledejme obecné řešení posunutí prutu s užitím předpokladu zachování rovinnosti průřezu po deformaci a zachování jeho kolmosti ke střednici (není uvažována práce posouvajících sil). Vzhledem k velké štíhlosti prutu zanedbejme také práci normálových sil. Potom můžeme pro průřez se souřadnicí s měřenou po střednici prutu (viz obr. 1) psát vztah pro normálové poměrné přetvoření (dle [3]):

(1)

kde (s) je funkce pootočení průřezu a z je souřadnice vlákna průřezu měřená kolmo od střednice prutu v rovině ohybu. Tento vztah je za daných předpokladů přesný a umožňuje přesně řešit libovolná posunutí prutu.

 

2 Aproximace

Abychom zvolenou úlohu zjednodušili, předpokládejme, že (za daných podmínek) je přesná funkce pootočení průřezu (s) blízká funkci:

(2)

kde a je hledaný neznámý parametr a l je délka nosníku. Tato funkce odpovídá svým tvarem lineárnímu řešení funkce pootočení stejného vetknutého nosníku, který je ovšem vystaven gravitaci působící ve směru kolmém na osu nepřetvořeného prutu (tato úloha je za zde definovaných obecnějších předpokladů řešena v [4]; obdobný postup je užit ve skriptech [5]). Pro tento případ totiž platí:

(3)

kde A je plocha průřezu prutu, je hustota (popř. objemová hmotnost) materiálu prutu a g je tíhové zrychlení. Tento vztah (platný pro malá posunutí) je možno snadno odvodit například přímou integrací při užití úpravy s x ve výrazu (1), čímž obdržíme známý vztah:

(4)

přičemž x je souřadnice průřezu měřená ve směru osy nepřetvořeného prutu.

 

3 Řešení

Nyní máme definován obecný výraz (1) pro poměrné přetvoření na prutu a rozhodli jsme se hledat řešení funkce pootočení ve tvaru (2). Zbývá tedy určit neznámý koeficient a v této funkci pootočení . Pro řešení tohoto problému s výhodou použijeme variační Ritzovu metodu při uplatnění principu minima potenciální energie systému. Víme, že pro potenciální energii systému (konstrukce + zatížení) platí:

(5)

kde je potenciální energie deformace konstrukce (energie akumulovaná v prutu vlivem jeho pružného přetvoření) a je potenciální energie zatížení (hmota prutu pohybující se v gravitačním poli).

 

3.1 Potenciální energie deformace prutu

Odvod'me nejprve výraz pro energii akumulovanou v prutu. Jelikož uvažujeme fyzikálně lineární materiál (Hookeův zákon), tak pro potenciální energii deformace prutu platí:

(6)

kde E je normálový modul pružnosti (pro tah/tlak) materiálu prutu. Užitím vztahu (1), úpravou (substitucí momentu setrvačnosti průřezu I pro ohyb v rovině xy) a vytknutím konstant, lze tento vztah upravit na:

(7)

kde součin EI je ohybová tuhost průřezu prutu. Dosadíme-li do tohoto vztahu zvolenou aproximaci funkce pootočení , výraz (2), tak po integraci můžeme obdržet vztah:

(8)

 

3.2 Potenciální energie zatížení

Sestavení energetické bilance zatížení je trochu obtížnější. Je zřejmé, že vlivem posunutí prutu se mění poloha jeho hmoty. Protože je prut umístěn v gravitačním poli, tak dochází ke změně potenciální energie této hmoty (hmota v gravitačním poli klesá). Lze říci, že každý myšlený hmotný element ds prutu ztrácí pohybem v gravitačním poli g potenciální energii d úměrnou své hmotnosti dm (pro kterou platí dm = A ds), intenzitě gravitačního pole g a posunu u ve směru gravitačního pole. Platí:

(9)

což lze pro celý prut přepsat (provedeme integraci a vytkneme konstanty):

(10)

přičemž u(s) je funkce posunutí hmotného elementu prutu A ds (se souřadnicí s) ve směru gravitačního pole (tj. ve směru osy nepřetvořeného prutu). Z geometrických souvislostí plyne (viz obr. 1), že je možné funkci posunutí u(s) vyjádřit s pomocí funkce souřadnice průřezu x(s) ve tvaru:

(11)

Dále pro funkci souřadnice průřezu x(s) (připomeňme, že je měřena ve směru osy nepřetvořeného prutu) platí:

(12)

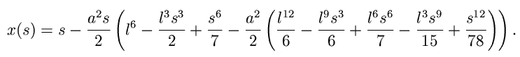
Řešení tohoto integrálu je obtížné. Řešme jej tedy pouze přibližně s užitím prvních tří členů Taylorova rozvoje funkce cos x. Můžeme psát:

(13)

Tento integrál lze již snadno s užitím aproximační funkce (2) vyřešit (obsahuje pouze polynom vysokého stupně) a tak obdržet vztah:

(14)

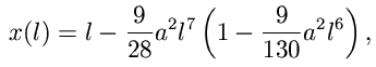
Dosazením délky prutu l za souřadnici s do odvozeného vztahu (14) pro souřadnici x dostaneme:

(15)

což je výraz pro souřadnici x vetknutého konce prutu. Nyní máme k dispozici vše potřebné pro sestavení potenciální energie zatížení . Dosad'me nalezené přibližné výrazy (14) a (15) do vztahu pro posunutí u (11) a tento pak do integrálu potenciální energie zatížení (10) a proved'me integraci. Můžeme tak obdržet (vzhledem k nahrazení funkce cos x v integrálu (12) pouze přibližně):

(16)

čímž jsme zakončili stanovení dílčích energetických bilancí.

 

3.3 Řešení

Vzhledem k úspěšnému sestavení dílčích složek (tj. potenciální energie deformace a potenciální energie zatížení ) můžeme nyní, s užitím vztahů (5), (8) a (16), psát pro celkovou potenciální energii systému :

(17)

Víme, že pro stabilní řešení úlohy musí potenciální energie systému nabývat lokálního minima (jakákoliv změna vyžaduje přidanou energii) a tedy musí být v našem případě alespoň splněna podmínka (hledáme parametr a):

(18)

což dává, po dosazení vztahu (17), provedené derivaci a úpravě, rovnici:

(19)

která má, kromě triviálního řešení a1 = 0, dvě netriviální řešení:

(20)

přičemž musí být splněna podmínka:

(21)

z čehož vyplývá minimální (tzv. kritická) hodnota zatížení pro existenci netriviálního řešení (odpovídající vztahu nalezeném v [4]):

(22)

 

4 Srovnání

Srovnejme nalezené řešení s přesnějšími řešeními. Nejprve můžeme srovnat vztah pro kritické zatížení (22), který se mírně liší, od přesnějšího vztahu (odvozeného Timoshenkem):

(23)

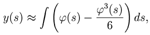
Pro další srovnání doplňme, že pro příčnou souřadnici y (měřenou kolmo na osu nepřetvořeného prutu) obecného bodu střednice prutu platí:

(24)

přičemž pro přibližný výpočet tohoto integrálu užijeme pouze dvou členů Taylorova rozvoje funkce sin x:

(25)

což po dosazení aproximační funkce (2), integraci a úpravě dá vztah:

(26)

Dosazením délky prutu l za souřadnici s do odvozeného vztahu (26) pro souřadnici y dostaneme:

(27)

což je výraz pro souřadnici y vetknutého konce prutu (příčné posunutí volného konce konzoly), přičemž parametr a je dán vztahem (20).

Odvozený výraz, pro příčnou výchylku y konce konzoly (27), můžeme srovnat s hodnotami vypočtenými některou z diskrétních metod mechaniky. Zde pro srovnání užijeme metodu tuhých dílců, zařazenou v soustavě finitních metod mechaniky jako metoda tuhých fyzických konečných prvků [6], definovanou staticky v [7] a dynamicky v [8] a [9]. Nalezené řešení pomocí této metody lze za výše definovaných předpokladů a s ohledem na přesnost zobrazení považovat za přesné. Na obrázku 2 je vidět graf příčné výchylky y koncového bodu konzoly v závislosti na zatížení
A g (v bezrozměrném tvaru).


Figure 2: Srovnání řešení koncové příčné výchylky v závislosti na zatížení

Z grafu na obrázku 2 je patrné, že zvolená aproximační funkce celkem dobře vystihuje přesné řešení získané výpočtem metodou tuhých dílců (chyba nižší jak 4 % pro zatížení A g = 10 EI/l3). Lze vidět rozdíl v dosažených kritických hodnotách a celkově nižší příčnou koncovou výchylku nalezeného řešení, což indikuje nevýstižnost zvolené aproximace při velmi velkých posunutích. Jak tento rozdíl vypadá z hlediska celkového deformovaného tvaru prutu je vidět na obrázku 3 pro hodnotu zatížení A g = 10 EI/l3.


Figure 3: Srovnání deformovaných tvarů pro zatížení A g = 10 EI/l3

 

Závěr

Porozumění používaným předpokladům při úspěšném řešení velkých posunutí prutových konstrukcí může být rozhodující při snaze pochopit charakter takových úloh. Podstatné je také vědět, jak rozlišit důležitost toho či onoho předpokladu užitého při řešení. Téměř vždy totiž platí, že nejefektivnější výpočetní postup je ten, který využívá pouze nejpodstatnějších rysů úlohy, zvláště, když mluvíme o řešení rozsáhlých problémů.

Tento článek si kladl za cíl přispět k zvýšení povědomí o problematice hledání nelineárních řešení konstrukcí při velkých posunutích, způsobem, který může být vhodný i pro pedagogické účely.

 

Poděkování

Tento příspěvek byl vytvořen v rámci výzkumného záměru CEZ: J22/98: 261100009, s podporou grantu GA ČR 103/02/1030 a nadace Preciosa.

 

References

[1] Frantík, P.: Nelineární řešení průhybu konzoly, 4. odborný seminář doktorského studia, VUT FAST v Brně, Brno, únor 2002

[2] Frantík, P.: Netradiční řešení vzpěru prutu, VII. Vedecká konferencia s medzinárodnou účast'ou, TU v Košiciach, Košice - Medzev, máj 2002

[3] Ržanicin, A., R.: Ustojčivost' ravnovesija uprugich sistem, Gosudarstvennoje izdatel'stvo techniko-teoretičeskoj literatury, Moskva 1955

[4] Frantík, P.: Nelineární řešení průhybu konzoly III (před vydáním), 6. odborný seminář doktorského studia - Juniorstav 2004, VUT FAST v Brně, Brno, únor 2004

[5] Šmiřák, S.: Energetické principy a variační metody v teorii pružnosti, doplňková skripta ÚSM FAST VUT v Brně, Brno, 1998

[6] Henrych, J.: Úplná soustava finitních metod mechaniky a možnosti dalšího rozvoje, studie ČSAV 6.85, nakladatelství Akademia, Praha 1985

[7] Frantík, P.: Diskrétní řešení vzpěru prutu, seminář Problémy modelování, VŠB-TU Ostrava, Ostrava, leden 2002

[7] Frantík, P., Macur, J.: Diskrétní dynamický model konzoly: Speciální řešení, konference DYN-WIND, TU Žilina, Tále, květen 2003

[9] Frantík, P., Macur, J.: Special Fast Discrete Dynamic Model of Cantilever Beam, 2nd PhD Workshop Brno-Weimar-Prague-WienBOKU, Brno, 2003


1Ing. Petr Frantík, Ústav stavební mechaniky, Fakulta stavební, Vysoké učení technické v Brně Veveří 95, Brno,
e-mail: kitnarf at centrum dot cz