Diskrétní dynamický model konzoly: Speciální řešení

 

Petr Frantík1 a Jiří Macur2

 

1Ústav stavební mechaniky resp. 2Ústav automatizace inženýrských úloh a informatiky, Stavební fakulta, Vysoké učení technické v Brně, Veveří 95, 662 37 Brno, Česká republika

 

Abstract

Special solution of discrete dynamic model of cantilever beam is described in this paper. Beam is modelled as a number of rigid finite elements connected by hinges with linear elastic springs.

 

1 Úvod

Simulace jednoduchých nelineárních dynamických systémů, jako je například štíhlý konzolový nosník v oblasti velkých deformací (viz obr. 1), mohou mít obecně velkou časovou náročnost. A to jak z hlediska doby simulace, tak i z hlediska reálného výpočetního času pro tuto simulaci. Minimální výpočetní čas je totiž přímo úměrný nejvyšší frekvenci, kterou bude model či jeho prvek kmitat. V případě modelu štíhlého nosníku z oceli jsou nejvyšší frekvence dosahovány při normálovém kmitání (kmitání pružných prvků nahrazujících normálovou tuhost). Normálové kmitání má nicméně malý vliv na globální chování nosníku kmitajícího převážně příčně. Proto se nabízí možnost vytvořit model normálově tuhý a omezit tak vznik vyšších frekvencí.


Obr. 1: Konzolový nosník a jeho model

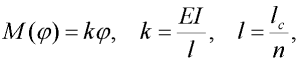
Mějme konzolový nosník konstantního průřezu o hmotnosti mc, délky lc a ohybové tuhosti EI. Nahraďme jej libovolným počtem stejně dlouhých tuhých dílců vzájemně spojených klouby s lineárními rotačními pružinami (viz obr. 1). Tento model lze dle rozdělení finitních metod mechaniky [1] označit jako užití metody tuhých fyzických konečných prvků, zkráceně MTFKP. Nechť pružiny působí na tuhé dílce momentem M, pro který platí:

(1)

kde je vzájemné pootočení tuhých dílců resp. dvojnásobek pootočení dílce u vetknutí (lze si představit, že vetknutí je uplatnění svislé osy symetrie na volném nosníku délky 2lc), k je tuhost rotační pružiny, l je délka tuhého dílce a n je počet tuhých dílců. Doplňme, že hmotnost jednoho tuhého dílce m je rovna mc / n.

 

2 Energie

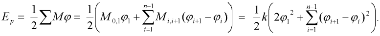
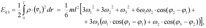
Mějme model konzolového nosníku složený ze tří dílců (získaný vztah lze potom snadno zobecnit), jak je znázorněno na obr. 2. Dílce jsou stejně dlouhé a pružiny mají stejnou tuhost, viz vztah (1). Pro takto vytvořený model sestavme pohybové rovnice dle Lagrangeovy metody [2].


Obr. 2: Model nosníku

Pro aplikaci Lagrangeova principu je třeba sestavit skalární funkci L (tzv. Lagrangián), kterou obdržíme jako rozdíl kinetické energie Ek a potenciální energie Ep vyšetřovaného systému. Platí tedy výraz:

(2)

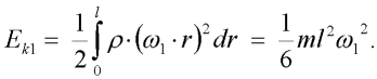
V našem případě je poměrně obtížné sestavit výraz pro kinetickou energii Ek. Proto začneme s prvním elementem. Formulujme nejprve výraz pro dílčí kinetickou energii Ek1 prvního dílce.


Obr. 3: První dílec

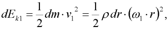
Diferenciální element o hmotnosti dm vytnutý na prvním dílci (viz obr. 3) má kinetickou energii

(3)

kde dm je hmotnost diferenciálního elementu, v1 je rychlost elementu, je hustota elementu, dr je délka elementu a je úhlová rychlost prvního dílce, pro kterou obecně platí:

(4)

kde je pootočení s-tého tuhého dílce. Kinetická energie prvního dílce je potom:

(5)

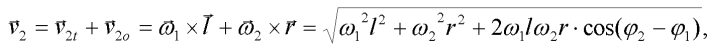
Pro druhý dílec je situace složitější. Pohyb diferenciálního elementu na druhém dílci lze psát jako součet dvou nezávislých pohybů: pohybu translačního o translační rychlosti rovné obvodové rychlosti koncového bodu prvního dílce a pohybu rotačního o úhlové rychlosti . Lze tak obdržet vztah:

(6)

kde je translační rychlost druhého dílce a je relativní obvodová rychlost diferenciálního elementu vytnutého na druhém dílci. Pro kinetickou energii druhého dílce pak platí:

(7)

Ze vztahu (7) je patrné, že přidáním druhého dílce se původní výraz (5) značně zkomplikoval. Komplikací je součin který, jak uvidíme v pohybových rovnicích, způsobí nárůst složitosti výpočtu.

Obdobně jako pro druhý dílec, lze pro kinetickou energii třetího dílce ze součtu vektorů dílčích rychlostí odvodit vztah:

(8)

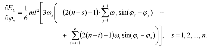
což lze zobecnit pro s-tý tuhý dílec:

(9)

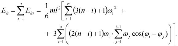
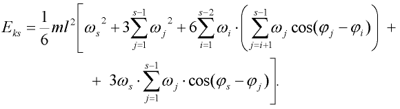
Lze odvodit, že pro celkovou kinetickou energii modelu MTFKP obecně platí:

(10)

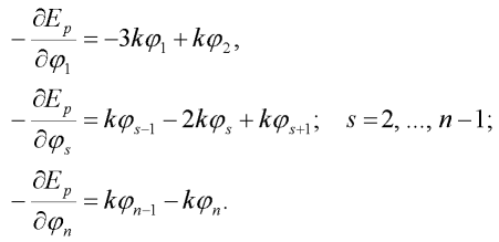
Potenciální energii Ep obdržíme snadněji. Jedinými akumulátory potenciální energie jsou rotační pružiny. Označme pružinu indexem s,s+1 pokud připojuje s-tý tuhý dílec k s+1 dílci. Potom pro napjatost této pružiny platí (sledujme obr. 2):

(11)

tedy pro potenciální energii Ep lze psát:

(12)

 

3 Pohybové rovnice

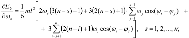
Pohybové rovnice pro popsaný MTFKP model dostaneme dle Lagrangeovy metody [2] z předpisu:

(13)

přičemž užijeme také substituce (4), abychom obdrželi soustavu diferenciálních rovnic prvního řádu, kterou potřebujeme pro numerické řešení. Dle (4) dostáváme:

(14)

čímž dostáváme soustavu 2n diferenciálních rovnic prvního řádu. Lze snadno dokázat, že v našem případě lze výraz (13) užitím výrazů (2), (10) a (12) zjednodušit na:

(15)

Dle vztahu (10) pro kinetickou energii Ek můžeme obecně psát:

(16)

a také:

(17)

S užitím vztahu pro potenciální energii Ep (12) můžeme obecně psát:

(18)

 

6 Závěr

Zde popsané odvození pohybových rovnic modelu MTFKP konzolového nosníku ukazuje, že eliminace normálových přetvoření a tedy eliminace problematických vyšších frekvencí je vykoupena značně složitějšími pohybovými rovnicemi, jak lze intuitivně předvídat.

Alternativní cesta eliminace vyšších frekvencí spočívá v redukci normálové tuhosti, při současném důkazu, že se touto redukcí nedopouštíme významné nepřesnosti (tento postup byl úspěšně použit pro řešení stability vysokého vzpěradla [3]).

 

Poděkování

Tento příspěvek byl vytvořen v rámci výzkumného záměru CEZ: J22/98: 261100009 a s podporou grantu GA ČR 103/03/1350.

 

Reference

[1] Henrych, J.: Úplná soustava finitních metod mechaniky a možnosti dalšího rozvoje, studie 6.85 ČSAV, Akademia 1985, Praha

[2] Leech, J. W.: Klasická mechanika (orig. Butler & Tanner Ltd., Frome, 1958), SNTL - nakladatelství tech. lit., Praha 1970

[3] Frantík, P.: Nesymetrické pokritické řešení vzpěradla, seminář Modelování v mechanice 2003, VŠB-TU Ostrava 2003