Vybrané fraktály a jejich dimenze

Petr Frantík

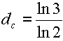
Cantorovo mračno

zdrojový soubor

 

zdrojový soubor


Sierpínského trojúhelník

zdrojový soubor


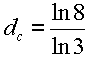
Mengerova houba

zdrojový soubor

 

zdrojový soubor

 

zdrojový soubor


Kochova křivka

zdrojový soubor


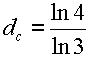
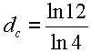
Kříž

zdrojový soubor

 

zdrojový soubor


Modifikace C křivky

zdrojový soubor


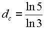
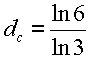
Hvězda

zdrojový soubor

 

zdrojový soubor


Rotar

zdrojový soubor

 

zdrojový soubor